
集成運算放大器是采用一定制造工藝將大量半導體三級管、電阻、電容等元件以及它們之間的連線制作在同一小塊單晶硅的芯片上,并具有一定功能的電子電路。

本文重點講解運算放大器的線性應用,線性應用重點掌握集成運放的傳輸特性、理想運放的特性,以及基本的同相放大器、反相放大器、加法電路、減法電路、積分電路和微分電路。
1. 運放的傳輸特性
運算放大器的傳輸特性曲線如下圖:

線性區滿足:

由于運放的電壓增益值很高,容易導致電路性能不穩定,并且線性區非常窄,為了使集成運放所組成的各種應用電路能穩定地工作在線性區,必須引入負反饋。
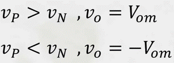
若運放處于開環或是正反饋的狀態下,運放工作在非線性區,這時可以用作比較器:

2. 虛短和虛斷
理想運放的特性是:
開環電壓增益視為無窮;
輸入電阻視為無窮;
輸出電阻視為零。
因此,當運放工作在線性區時,可將同向輸入端和反向輸入端電壓視為相等,稱為“虛短”。

由于輸入電阻也視為無窮,因此輸入電流可視為零,稱為“虛斷”。

注意:
“虛”字,都不是真正的短路和斷路,只是在計算時,將電壓視為相等,電流視為零,實際中沒有短路和斷路的現象。
另外,只有運放工作在線性區時才具有“虛短”特性。
3. 典型運算電路
運算電路是運放引入深度負反饋,這時的運放工作在線性區,具有“虛短”和“虛斷”的兩大特點,這也是分析運算電路的基本出發點。
大家熟悉以下幾個基本的運算電路,有助于求解復雜的運算電路。



|