麥肯錫預計,到2030年,物聯網將在全球創造5.5萬億至12.6萬億美元的經濟價值,我國物聯網連接數全球占比高達30%,到2025年能夠超過80億個。此外,可穿戴設備市場規模也在迅速擴大。據IDC,2020-2021,全球可穿戴設備的出貨量超過3.5億臺,國內市場規模到2025年有望增至462.6億元。

物聯網應用、可穿戴設備爆炸式增長,離不開電源管理技術為其賦能。體積小、便于攜帶的電池供電設備,如藍牙耳機、智能手表、可視門鈴、物品追蹤器等,往往尺寸緊湊、電池容量有限,同時又要求能夠長時間待機和迅速響應,這對設備的電源系統及器件本身的低功耗性能提出很高的要求。續航時間和“喚醒”時的反應速度關乎設備的核心性能表現。因而,具備超低靜態電流、超快瞬時響應的同步降壓轉換器得到設計師的青睞。
致力于提升物聯網和可穿戴設備性能,豪威集團——全球排名前列的先進數字成像、模擬、觸摸和顯示技術等半導體解決方案開發商,近日發布新一代高效同步降壓轉換器WD1020/WD1021。

WD1020/WD1021產品特性
超低靜態電流:延長待機時間
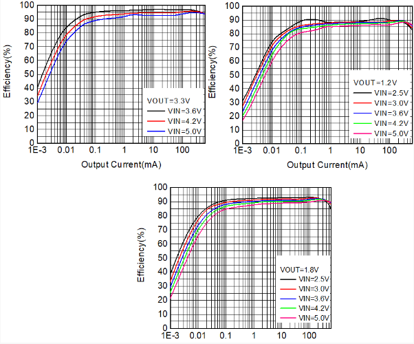
該系列產品具有超低的360nA靜態電流。在低至10uA的輕載下仍能提供高效率。全負載范圍內效率最高可達97%。通過先進的峰值電流控制架構,WD1020/WD1021在寬泛的負載范圍內仍具有優秀的動態響應能力,可有效延長電池供電產品的續航時間,非常適用于為傳感器、 MCU、無線通訊及其它系統組件供電。

效率曲線
通過采用3個VSEL引腳編碼,WD1020/WD1021可以實現8個不同的電壓輸出。在輸入電壓降低到接近輸出時,可自動切換到100%占空比模式運行,拓寬電池工作電壓范圍,增強電池續航能力;根據負載大小不同,WD1020/WD1021還可自動切換運行于PFM或PWM模式,保證在輕載(<1mA)到滿載的整個負載范圍都維持業界領先的運行效率。

典型應用電路

引腳信息
小封裝:節省寶貴空間
除保證續航時間外,設計者需要平衡高性能與小尺寸、高效之間的關系。在封裝及尺寸方面,WD1020/WD1021采用CSP-8L封裝,擁有1.61mm×0.82mm超小尺寸,同時內部集成斜坡補償,降低了外圍器件數量需求,加上高達1MHz的開關頻率,可與小型貼片陶瓷電容和電感搭配實現非常緊湊的整體解決方案,對于智能手表、TWS耳機和智能手環等小尺寸的移動式應用提供良好適配,為產品設計節省了寶貴的內部空間。

CSP-8L封裝
強保護:保障安全運行
雖然小巧又省電,但保護功能一樣不少。
WD1020/WD1021集成了完善的保護功能,可在多種異常條件下提供安全保障,包括軟啟動,輸入欠壓保護,過流保護,過溫保護等。另外,WD1020/WD1021還具有輸出快速放電功能,可消除輸出殘壓對后級電路的影響。
便攜式、小型化的產品設計,對電源管理技術要求越來越苛刻。兼具超低靜態電流和緊湊設計的WD1020/WD1021是此類應用的理想之選。
目前,豪威集團的電源管理產品,廣泛運用于智能設備、物聯網、可穿戴、筆電、工業設備等應用場景。 |