工業、汽車、IT和網絡公司是電力電子、半導體、器件和系統的主要購買者與消費者。這些公司使用各種可用的DC-DC轉換器拓撲結構,采用不同形式的降壓、升壓和SEPIC結構。理想情況下,這些公司會針對每個新項目使用專門的控制器。
然而,采用新芯片需要大量投資,因為必須花費很多時間和成本來測試新器件是否符合汽車標準,以及驗證其在特定應用、條件和設備中的功能。顯然,為了降低開發和設計成本,不同應用應采用已經過批準和驗證的控制器。
用于生成電源的常用拓撲結構是降壓轉換器。但是,這種拓撲結構僅限于從高于輸出的輸入電壓產生正輸出。當輸入電壓低于輸出電壓時,不能直接利用它來產生負電壓或提供穩定的輸出。產生輸出的這兩個方面在汽車電子中均很重要,因為需要負電壓來為放大器供電,或者當輸入電壓軌顯著降低時,在冷起動的情況下整個系統必須連續正常工作。今天我們詳細介紹在SEPIC、Cuk和升壓轉換器中使用簡單降壓控制器的方法。
從公共輸入軌產生負電壓和正電壓
圖1顯示了基于單個降壓控制器(具有兩路輸出)的雙極性電源設計。

圖1. LTC3892的電氣原理圖,可產生正負電壓。VOUT1為10 A、3.3 V,VOUT2為3 A、-12 V。
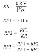
為了限度地利用該芯片,必須使用一路輸出來產生正電壓,使用第二路輸出來產生負電壓。此電路的輸入電壓范圍為6 V至40 V。VOUT1產生10 A、3.3 V的正電壓,VOUT2產生3 A、-12 V的負電壓。兩路輸出均由U1控制。路輸出VOUT1是簡單的降壓轉換器。第二路輸出的結構更復雜一些。VOUT2相對于GND為負,故使用差分放大器U2來檢測負電壓并將其調整為0.8 V基準電壓。在這種方法中,U1和U2均以系統GND為基準,這大大簡化了電源的控制和功能。如果需要其他輸出電壓,以下表達式有助于計算RF2和RF3的電阻值。


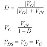
VOUT2電源系采用Cuk拓撲結構,相關技術文獻中對此有廣泛介紹。 為了解電源系元件上的電壓,需要使用以下基本公式。
VOUT2效率曲線如圖2所示。在本例中,LTC3892轉換器的輸入為10 V至20 V。輸出電壓為10 A、 +5 V和5 A、-5 V。

圖2. 14 V輸入電壓時負輸出的效率曲線。
從波動輸入軌產生穩定電壓
圖3所示轉換器的電氣原理圖支持兩路輸出:VOUT1為10A、3.3 V,VOUT2為3 A、12 V。輸入電壓范圍為6 V至40 V。

圖3. SEPIC結構的LTC3892在降壓應用中的電氣原理圖。
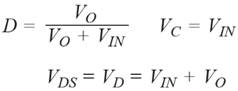
VOUT1以類似方式創建,如圖1所示。第二路輸出是SEPIC轉換器。與上面的Cuk一樣,該SEPIC轉換器基于非耦合的雙分立電感解決方案。分立扼流圈的使用顯著擴大了可用磁性材料的范圍,這對于成本敏感型器件非常重要。

圖4和圖5顯示了該轉換器在電壓下降和達到尖峰時(例如在冷起動或電源切斷時)的功能。軌電壓VIN圍繞相對標稱值12 V下降或上升。但是,VOUT1和VOUT2均處于穩壓狀態,為關鍵負載提供穩定的電源。雙電感SEPIC轉換器可以輕松重新連接成單電感升壓轉換器。

圖4. 軌電壓從14 V降至7 V,VOUT1和VOUT2均處于穩壓狀態。

圖5. 軌電壓從14 V升至24 V,但VOUT1和VOUT2均處于穩壓狀態。
結論
上文介紹了基于降壓控制器構建雙極性和雙輸出電源的方法。這種方法支持在降壓、升壓、SEPIC和Cuk拓撲中使用相同的控制器,這對于汽車和工業電子供應商來說非常重要,因為一旦經過核準,他們便可基于同一控制器設計出提供各種輸出電壓的電源。 |