所謂的分壓電路指的是兩個電阻器之間分壓電壓的電路,我們經常在一些簡單和高級電路中看到它。在本文中師將介紹它的工作原理和計算方式。
一、分壓電路計算公式
分壓電路是什么樣的呢?如下圖所示,當你像這樣連接兩個電阻時,我們通過計算就能得出兩邊的輸出電壓:

計算輸出電壓的公式為:

二、在哪里找到分壓電路?
分壓電路的一個典型案例是用于模擬傳感器。例如,熱敏電阻是溫度傳感器。它會根據溫度改變其電阻。如果將其與分壓電路中的已知電阻值連接,我們就能獲得取決于溫度的電壓:

或者,可以將已知電阻器與光敏電阻器結合使用。光敏電阻根據其檢測到的光量改變電阻。這樣,就有了一個根據光增加或減少電壓的電路。

我們可以將任何這些電路的輸出連接到比較器中,以檢查它是否高于或低于某個電壓。然后在此基礎上做一些事情。例如,如果溫度高于40度,打開風扇。
(1)計算示例:不同的電阻值
假設我們有以下值:

通過使用上面的公式,我們得到:

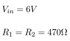
(2)計算示例:相等的電阻值
現在,假設R1和R2具有相同的值。

通過使用上面的公式,我們得到:

這意味著當兩個電阻具有相同的值時,輸出總是輸入的一半。
三、可以使用分壓電路作為電源嗎?
比如有人想問,如果有一個需要4.5V的電路,能否使用帶有兩個500Ω電阻的分壓電路從9V電池中獲得4.5V電壓?
不幸的是,這并不容易。
因為,想要供電的任何電路都具有內部電阻。因此,從分壓器的角度來看,連接到電壓輸出的任何電路都可以看作是與R2并聯的電阻器(R LOAD )。

如果電路的內阻 (R LOAD )也是500Ω,會發生什么情況?
現在,分壓器公式中的R2變為R2和R
LOAD的并聯電阻。這只是250Ω。如果將其放入分壓電路公式中,將得到3V的輸出電壓,而不是你想要的4.5V。
對于電源,無論連接的電路具有高內阻還是低內阻,都希望電壓保持在所選水平。這就是為什么分壓電路不常用于電源的原因。
如果你真想用,使用穩壓器會更好。 |