引言
在許多應用場合,都需要將低電壓升至適合用電設備使用的較高電壓。在輸出功率60W以內,工程會選用內置MOS的升壓芯片,集成度高,外圍元器件少。但是在更大功率的應用場合,如車載升壓應用、戶外大功率拉桿音箱等,需要升壓電路將12V電源升壓至24V~36V或以上,實現更大功率輸出,內置MOS的升壓芯片顯然無法滿足應用要求。
深圳市永阜康科技有限公司現在大力推廣一顆外置MOS,36V輸出大功率同步升壓控制器-IU5706. 4.5V 到30V寬范圍輸入,適用于不同類型的電池及電源輸入;輸出電壓最高38V;可驅動大電流MOSFET,滿足100-300W大功率的應用要求;50KHz至1MHz的可調頻率,同時提供外部時鐘同步,EMI設計更為靈活;6μA關斷電源電流,720μA靜態工作電流;采用EQA-16小封裝,整體方案尺寸小,設計簡單,BOM成本低。
IU5706產品簡介
概要
IU5706E是高性能寬輸入范圍(4.5V-30V)同步升壓控制器,支持高達38V的輸出電壓。輸出電壓采用恒定頻率電流模式脈寬調制(PWM)控制來實現調節。
芯片通過外部定時電阻器或通過與外部時鐘信號同步來設置開關頻率。在電阻編程模式下,開關頻率可從50KHz編程到1MHz,也可以與300kHz至1MHz之間的外部時鐘同步。
同步整流針對高電流應用而啟用高效率,而且無損耗電感器DCR進一步提升了效率。IU5706E包括一個7.5V柵極驅動電源,此電源適合于驅動很多類型的MOSFET。
采用EQA-16封裝。
描述
38V最大輸出電壓
4.5V 至30V輸入電壓范圍
具有內部斜坡補償的電流模式控制
與外部時鐘的同步能力
50KHz至1MHz 的可調頻率
外部可調軟啟動時間
輸出電壓電源正常指示器
±1%反饋基準電壓
6μA關斷電源電流
720μA靜態工作電流
逐周期電流限制和熱關斷
可調欠壓閉鎖(UVLO) 和輸出過壓保護
IU5706應用信息
1、IU5706腳位圖
2、IU5706管腳說明

3、IU5706 DEMO板原理圖

4、IU5706 DEMO板PCB頂層設計圖

5、IU5706 DEMO板PCB底層設計圖
6、IU5706 DEMO板貼片圖
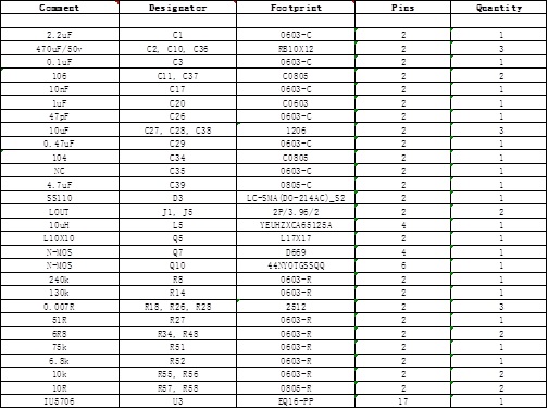
7、IU5706 DEMO板物料清單
8、IU5706 DEMO板實物圖
(輸出功率150W以上MOS需要外接散熱器)

(輸出150W以內,MOS采用TO252貼片封裝)

詳細的產品資料及銷售聯絡信息請參看:http://www.lbxn.com.cn/products_5995.htm |