步進電機暫態(阻尼)特性的測量
步進電機的轉子作1步距角步進,則其轉子會產生振蕩而后慢慢衰減至停止,取縱軸表示角度,橫軸作為時間,轉子慢慢衰減至停止,稱為暫態(阻尼)特性。
此種測量方法采用下圖的試驗結構。

驅動電路確定激磁方式,步進電機1步進驅動。此時,步進電機安裝了電位計,其輸出波形用記憶示波器畫出,此方法能測量暫態特性。用此方法可以測量激磁相通電狀態、角度振蕩變化、轉子定位的超調量和轉子定位位置及位置的穩定時間等,由于其結構簡單,所以被大量使用。用此方法測定兩相HB型1.8°步進電機的2相激磁與1-2相激磁的暫態特性。如下圖所示。與1-2相激磁相比,2相激磁穩定性好,1相激磁的情形超調量大,阻尼與2相激磁情況比較,有很大的不同。

步進電機暫態(阻尼)特性的測量
1-2相驅動狀態下,為了能最佳狀態達到穩定位置,激磁方式以2相為宜。
測量暫態特性,縱軸的角度精度要更精確的獲取,電位計用編碼器來代替,其穩定波形可以用打印機輸出。下圖為此測量方法的穩定波形,有兩次衰減振蕩即到達停止角度的±5%內,即到1.8°±5%讀取穩定時間(setting TIme)。

步進電機暫態(阻尼)特性的測量
跟電位計法比較,編碼器法因編碼器慣量大的關系,需要注意穩定時間的絕對值不同。
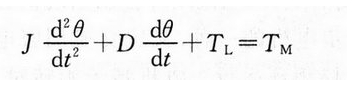
一般阻尼特性如前文《步進電機的加速、減速控制》中的下述公式所示,J、D與電機產生轉矩Kθ時,(D/√JK)(JK包含在根號內)大而得到改善,衰減振動的角速度近似(√K/√J)。

步進電機改善暫態特性的解決方法
步進電機的位置定位時,因為電機負載和轉子儲存的動能,不能立即停止,會產生超調量,反復經過設定點后停下來。此種反復振蕩延長了定位時間,有必要改善電機的阻尼和定位時間。改善的方法有安裝阻尼器和利用驅動電路及電機本身的改善等,下面將分別加以說明。
利用阻尼器的改善
帶誤差動態阻尼器的步進電機的照片。此種阻尼器是在步進電機軸的飛輪上安裝橡膠等特性裝置,使飛輪的運動滯后于轉軸的運動,利用與轉子間的振動相位差對轉子進行制動,改善暫態特性。
下圖為帶動態慣量阻尼器的步進電機暫態特性的步進響應的比較。此種吸振阻尼器不會像反相制動方法那樣,在產生超調后才制動,但也不會消除最初的超調量。
此種動態慣量阻尼器可以改善步進電機高速區域的共振引起的轉矩降低,也可以改善高速時的轉矩和響應脈沖。
步進電機暫態(阻尼)特性的測量
利用驅動電路的改善
半步進1-2相激磁的情況:阻尼以及定位時,利用2相激磁比1相激磁要好。所以兩相步進電機使用半步進驅動的1-2相激磁時,停止相采用2相激磁,阻尼會變好。
反相序制動:有關反相序制動,在前文《步進電機附加制動驅動方法:反相序激磁與最終步進延遲》已介紹。此種方法是最佳控制,即在最初的超調能抑制振動。為此介紹反相序制動用閉環回路。
下圖表示步進電機及其后軸所帶的測速機結構。
由測速機得到轉子速度,在最佳時刻作反相序制動,其反相序激磁的電路
驅動電路輸出段的結構:根據圖前文《步進電機增加動態轉矩的解決方法》中的下圖所示驅動電路輸出段結構,當功率管OFF時,尖峰吸收電路的導通,產生的制動轉矩變大。其圖中的①為制動轉矩最小的結構。在高速時的轉矩會降低,故要考慮轉矩與制動轉矩兩者狀態最佳時的驅動電路。
電機本體的改善
PM型步進電機的極異性和各向同性磁鐵的速度-轉矩特性比較在前面的《磁鐵磁化方向:各向同性與各向異性磁鐵的差異》中用下圖已經介紹了,此時的兩個電機的極異性永久磁鐵的磁通大,各向同性磁通相對小。
為這些電機在額定電壓下的速度-轉矩特性的比較。注意永久磁鐵的磁通大小或激磁電壓(電流)的大小與暫態特性。下圖為極異性磁鐵與各向同性磁鐵的步進電機在12V額定電壓下的阻尼特性的比較。
據此,定位時間方面,使用極異性磁鐵的穩定時間長。但若降低驅動電壓(降低為8V),則如下圖所示,極異性磁鐵的穩定時間變短。
磁鐵強的電機調整激磁電壓(電流)時,穩定時間將變小。上圖為幾種電流的暫態特性。電流在轉子轉速大時會減小,此為受到反電勢的影響所致。各向同性磁鐵與極異性磁鐵的周期比較,后者變短,振蕩次數相同約為4,后者的穩定時間變短。 |