便攜式電子器件(如智能手機、GPS導航系統和平板電腦)的電 源可以來自低壓太陽能電池板、電池或AC-DC電源。電池供電系 統通常將電池串聯疊置以實現更高的電壓,但此技術由于空間不 足未必總是可行。開關轉換器使用電感磁場來交替存儲電能,并以不同電壓釋放至負載。因為損耗很低,所以是個不錯的高效選 擇。連接至轉換器輸出端的電容可降低輸出電壓紋波。本文所討論的升壓, 轉換器提供較高電壓;而前一篇文章1所討論的降壓轉換器提供較低輸出電壓。內置FET作為開關的開關轉換器稱為開關調節器,2 需要外部FET的開關轉換器則稱為開關控制器.3
圖1顯示采用兩節串聯的AA電池供電的典型低功耗系統。電 可用輸出范圍約為1.8 V至3.4 V,而IC工作時需要1.8 V和5.0 V 電壓。升壓轉換器可在不增加電池單元數量的情況下提升電 壓,從而為WLED背光、微型硬盤驅動器、音頻設備和USB外 設供電,而降壓轉換器可為、內存和顯示器供電。

圖1.典型低功耗便攜式系統
電感阻礙電流變化的傾向可提供升壓功能。充電時,電感用作 負載并存儲電能;放電時,可用作電源。放電過程中產生的電 壓與電流變化速率相關,與原始充電電壓無關,因此可提供不 同的輸入和輸出電平。
升壓調節器包括兩個開關、兩個電容和一個電感,如圖2所示。 非交疊開關驅動機制確保任一時間只有一個開關導通,避免發 生不良的直通電流。在第1階段(tON),開關B斷開,開關A閉合。 ON電感連接到地,因此電流從VIN流到地。由于電感端為正電壓,因此電流增大,使電能存儲于電感中。在第2階段(tOFF), 開關A斷開,開關B閉合。電感連接到負載,因此電流從VIN流到負載。由于電感端為負電壓,因此電流減小,電感中存儲的能量 釋放到負載中。

圖2.降壓轉換器拓撲結構和工作波形
注意,開關調節器既可以連續工作,也可以斷續工作以連續導通模式 (CCM), 工作時,電感電流不會降至0;以斷續導通模式 (DCM), 工作時,電感電流可以降至0。 電流紋波,在圖2中顯示為ΔIL 使用公式ΔIL = (VIN ? tON)/L.計算。平均電感電流流入負載,而紋波電流流入輸出電容。

圖3.升壓調節器集成振蕩器、PWM控制環路和開關FET
使用肖特基二極管代替開關B的調節器定義為異步 (或非同步), 調節器,而使用FET作為開關B的調節器定義為同步調節器。 圖3中,開關A和B已分別使用內部NFET和外部肖特基二極管 來實施,從而形成異步升壓調節器。對于需要負載隔離和低關 斷電流的低功耗應用,可添加外部FET,如圖4所示。將器件 的EN引腳驅動至0.3 V以下便可關斷調節器,使輸入與輸出完 全斷開。

圖4.ADP1612/ADP1613典型應用電路
現代低功耗同步降壓調節器以脈寬調制(PWM)為主要工作模式。PWM保持頻率不變,通過改變脈沖寬度(tON)來調整輸出電壓。輸送的平均功率與占空 D成正比,因此這是一種向負載 提供功率的有效方式

例如,所需輸出電壓為15 V,可用輸入電壓為5 V時:
D = (15 – 5)/15 = 0.67 or 67%.
由于功耗降低,輸入功率必須等于傳遞至負載的功率減去所有 損耗。假定轉換十分有效,則少量的功率損失可在基本功耗計 算中省略不計。因此輸入電流可近似表示為:

例如,如果負載電流在15 V時為300 mA,則5 V時IIN = 900 mA at 5 V—即輸出電流的三倍。因此,可用負載電流隨著升壓電壓增大而 降低。
升壓轉換器使用電壓或電流反饋來調節選定的輸出電壓;控制 環路則可根據負載變化保持輸出調節。低功耗升壓轉換器的工 作頻率范圍一般是600 kHz到2 MHz。開關頻率較高時,所用的 電感可以更小,但開關頻率每增加一倍,效率就會降低大約2%。在ADP1612 和ADP1613升壓轉換器(參見附錄)中,開關頻率可通過引腳選擇,很高效率下的工作頻率為650 kHz,很小外部 器件的工作頻率為1.3 MHz。對于650 kHz的工作頻率,將FREQ 連接至GND,而1.3 MHz的工作頻率則連接至VIN。
電感是升壓調節器的關鍵器件,它在電源開關導通期間存儲電能,而在關斷期間通過輸出整流器將電能傳輸至輸出端。為了在低電感電流紋波與高效率之間取得平衡,ADP1612/ADP1613 數據手冊建議電感值范圍為4.7 μH至22 μH。一般而言,較低值 的電感在給定實體尺寸下具有更高的飽和電流和更低的串聯電 阻,而較低的電感導致較高的峰值電流,可降低效率并增加紋 波和噪聲。通常很好在斷續導通模式下執行升壓,以便縮小電 感尺寸并改善穩定性。峰值電感電流(很大輸入電流加一半的 電感紋波電流)必須小于電感的額定飽和電流;而調節器的很 大直流輸入電流必須小于電感的電流有效值額定值。
升壓調節器主要規格和定義
輸入電壓范圍:升壓轉換器的輸入電壓范圍決定了很低的可用輸入電源。規格可能提供很寬的輸入電壓范圍,但輸入電壓必須低于 VOUT才能實現高效率工作。
地電流或靜態電流:未輸送給負載的直流偏置電流(Iq)。 Iq越低則效率越高,然而, Iq 可以針對許多條件進行規定,包括關斷、零負載、PFM工作模式或PWM工作模式。因此,為了確定某 個應用的很佳升壓調節器,很好查看特定工作電壓和負載電流 下的實際工作效率。
關斷電流: 這是使能引腳禁用時器件消耗的輸入電流,低Iq對于電池供電器件在休眠模式下能否長時間待機很重要。
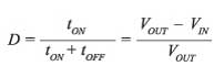
開關占空比:工作占空比必須小于很大占空比,否則輸出電壓無法調節。例如, D = (VOUT – VIN)/VOUT. 時VIN= 5 V and VOUT = 15 V, D = 67%. ADP1612和ADP1613的很大占空比為90%。
輸出電壓范圍: 即器件可支持的輸出電壓范圍。升壓轉換器的輸出電壓可以是固定的,或者可利用電阻設定所需的輸出電壓來調節。
限流:升壓轉換器通常指定峰值電流限值而不是負載電流。請注意VIN and VOUT間的差異越大,可用負載電流越低。峰值電流限值、輸入電壓、輸出電壓、開關頻率和電感值均會決定很大可用輸出電流。
線路調整率: 線路調整率是指輸出電壓隨輸入電壓變化而發生的變化率。
負載調整率: 負載調整率是指輸出電壓隨輸出電流變化而發生的變化率。
軟啟動:升壓轉換器具有軟啟動功能很重要,啟動時輸出電壓以可控方式緩升,從而避免啟動時出現輸出電壓過沖現象。某 些升壓轉換器的軟啟動可通過外部電容調節。隨著軟啟動電容 充電,它會限制器件允許的峰值電流。憑借可調軟啟動功能 可改變啟動時間以滿足系統要求。
熱關斷(TSD):當結點溫度超過規定的限值時,熱關斷電路就會關閉調節器。一直較高的結溫可能由工作電流高、冷 卻不佳或環境溫度高等原因引起。保護電路包括遲滯,以防止 發生熱關斷后,器件在片內溫度降至預設限值以下后才返回正 常工作狀態
欠壓閉鎖(UVLO): 如果輸入電壓低于UVLO閾值,IC便自動關閉電源開關并進入低功耗模式。這可以防止低輸入電壓下可 能發生的工作不穩定現象,并防止電源器件在電路無法控制它 時啟動。
結束語
低功耗升壓調節器通過提供成熟計使開關的設 DC-DC轉換器設設計變得簡單。數據手冊應用部分提供了設計計算,ADIsimPower4 設計工具可簡化很終用戶的任務。 |