TI提供的TPA6132A2,因為其100dB 的高信噪比,0.01%的低失真度,出色的消除POP聲的能力,以及極高的性價比,在手機等移動設備中,得到了廣泛的應用。由于移動設備芯片的集成度的提高,越來越多的芯片組選擇了單端的連接方式作為耳機通道輸出。TPA6132A2 同時提供了差分,以及單端反相放大的連接方式。但由于一些應用,例如需要配合其他播放設備使用,對于輸出的相位有嚴格的要求,因此需要以正向的單端放大器的連接方式連接TPA6132A2。本文將討論TPA6132A2 的正向單端放大器的連接方法,以及需要注意的事項。
1. TPA6132A2 簡介
TPA6132A2 是TI推出的DirectPath系列的立體聲耳機放大器,由于集成了Charge Pump,提供了負電源,因此能夠輸出參考地的無直流分量的輸出波形,使得放大器不再需要大體積的輸出隔直電容。
TPA6132A2 作為一個全差分輸入的耳機放大器,提供了極高的共模抑制比以及電源抑制比,因此能夠達到極低的噪聲輸出水平。
對于單端的連接,可以簡單的將INL+和INR+接地,輸入信號由INL-和INR-接入。此時TPA6132A2 構成了反相放大電路,輸入的直流偏置為0V,直接由INL/R+供給,因此可以節省一對耦合電容并且由于播放中,耳機的左右聲道互相參考,因此同時被反相的兩個聲道保持同向。所以在TPA6132A2 的手冊中,TPA6132A2 將反相放大電路作為了示例。
而在實際的應用中存在一些場景,存在非獨立參考的相位,此時聲波在空間會存在一定的抵消現象,因此一些設計,即使是使用耳機也希望采用DAC 輸出的原始相位。因此本文討論并提供了正確的正相放大器的接法。

2. TPA6132A2 正相放大器原理
a. TPA6132A2 內部原理
TPA6132 集成了放大電路的反饋網絡,根據G0, G1 管腳的配置,會使能不同的反饋網絡阻值,來得到不同的放大倍數。SGND 用于連接耳機左右聲道地線所共用的FM 電感,用于消除電感阻抗上左右聲道歸地電流引起的竄擾。

b. TPA6132A2 正相放大器連接方法
因為耳機對于放大器直流分量過于敏感,且HPVSS 并不完全對稱與VBAT,因此需要引入直流反饋來減小輸出的直流分量,因此需要將INL-和INR-通過一個直流反饋電容接地。
而由于前端芯片輸出一般都有較高的直流分量,因此需要在INL+和INR+端接入隔直電容。

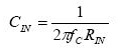
由于正向輸入腳和反相輸入腳的阻抗均相等,因此隔直電容和直流反饋電容可以選擇相同的容量,大小等于:

其中fc 為系統的轉折頻率,一般取值小于20Hz,而Rin 可參考下表中的阻值。

3. 正相單端放大器使用注意事項
a. 輸入電容和反饋電容的選擇和噪聲抑制
因為輸入電容和反饋電容在低頻的容抗會計入反饋網絡,因此不匹配的電容會降低相應頻段的共模抑制比,所以在實際應用中可以選擇:
1.精度高的電容作為輸入及反饋電容,這樣容抗能夠極大的接近,減小對于共模抑制比的影響;
2.容量更大的電容作為輸入及反饋電容,這樣即使兩顆電容容量存在差異,但由于容抗相對于反饋電阻網絡較低,因此也能減小對于共模抑制比的影響。
b. 直流反饋電容的接地點
由于移動式設備集成度高,因此很難規劃嚴格的回地電流,所以在實際的布線中需要考慮歸地電流對于電路的影響。一般選擇前級芯片的模擬接地點作為直流反饋電容的接地點,因為輸入信號以及反饋能夠參考同樣的地,因此地線上拾取的噪聲能夠被放大器共模抑制消除。 |